Home
Contact

 



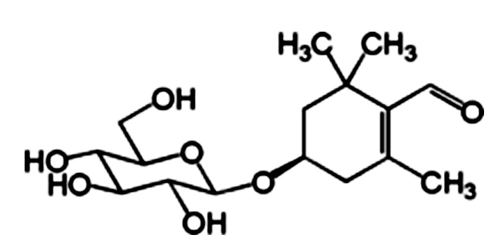
Saffron tastes bitter and is slightly pungent. The main compound that gives taste to saffron is picrocrocin, which is a colorles glycoside present around 4 persent in fresh stigma.
During the drying process, picrocrocin liberates the aglycone (HTCC, C10H16O2) due to the action of the enzyme glucosidase. The aglycone is then transformed to safranal by dehydration. Picrocrocin is a degradation product of the carotenoid zeaxanthin.



Sitemap   |   Contact   |   Imprint
© Copyright 2006 True Saffron